Free Access

Fig. 3

thumbnail

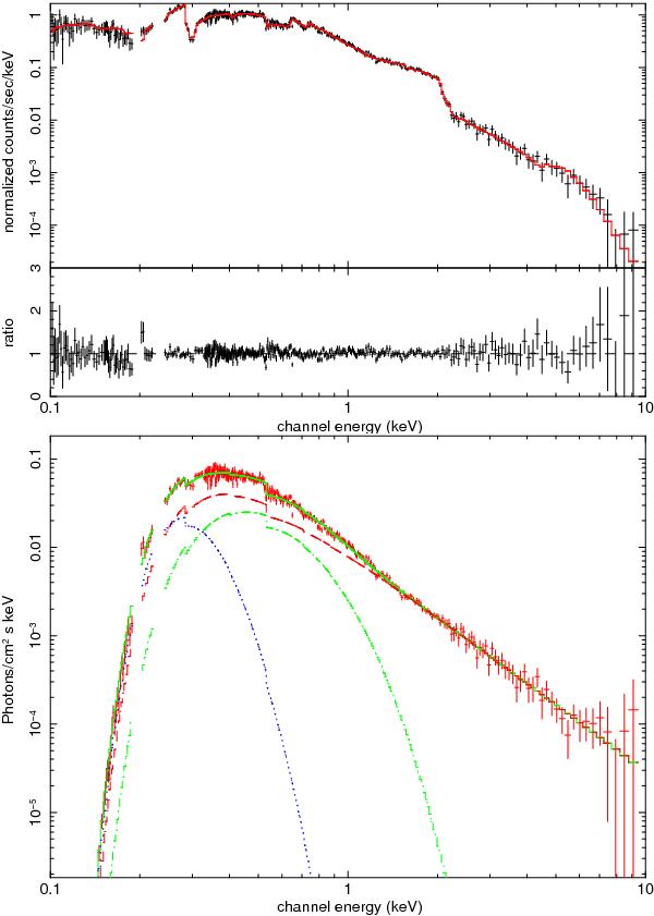
Background-substracted LETGS ± 1 0.1−10 keV spectrum of Ark 564, with the best-fit hard power law and the addition of two black bodies (the PLhard+2BB model). The upper panel shows the data with the convolved model in red (BW v. as a solid line). Below, the ratio data/model. The lower panel shows the flux spectrum with the composed physical model (and its components separately) as a solid line.

This figure is made of several images, please see below:

Current usage metrics show cumulative count of Article Views (full-text article views including HTML views, PDF and ePub downloads, according to the available data) and Abstracts Views on Vision4Press platform.

Data correspond to usage on the plateform after 2015. The current usage metrics is available 48-96 hours after online publication and is updated daily on week days.

Initial download of the metrics may take a while.