Free Access

Fig. 14

thumbnail

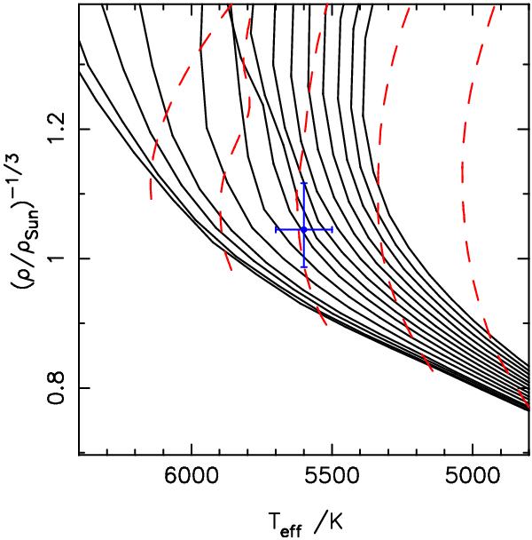
Isochrone tracks from Demarque et al. (2004) for WASP-56 using the metallicity [Fe/H] = 0.12 dex from our spectral analysis and the best-fit stellar density 0.88 ρ. From left to right the solid lines are for isochrones of: 1.8, 2.0, 2.5, 3.0, 4.0, 5.0, 6.0, 7.0, 8.0, 9.0, 10.0, 11.0, 12.0, 13.0 and 14.0 Gyr. From left to right, dashed lines are for mass tracks of: 1.2, 1.1, 1.0, 0.9 and 0.8 M.

Current usage metrics show cumulative count of Article Views (full-text article views including HTML views, PDF and ePub downloads, according to the available data) and Abstracts Views on Vision4Press platform.

Data correspond to usage on the plateform after 2015. The current usage metrics is available 48-96 hours after online publication and is updated daily on week days.

Initial download of the metrics may take a while.