Free Access

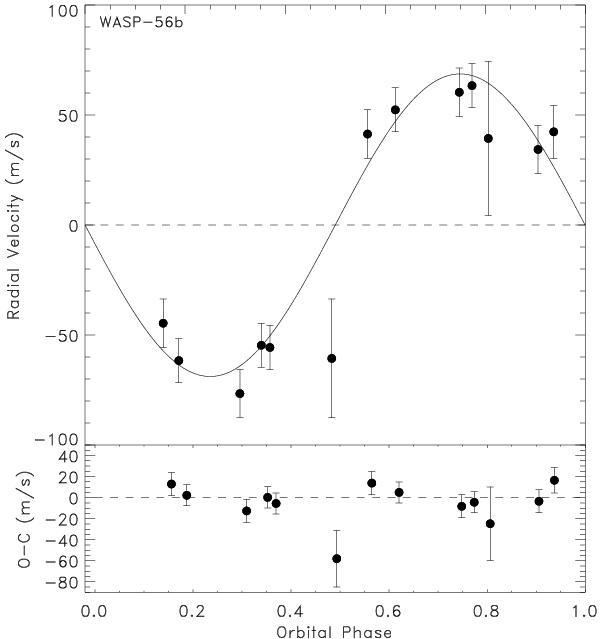
Fig. 6

thumbnail

Upper panel: similar to Fig. 4, the phase folded radial velocity measurements of WASP-56. The centre-of-mass velocity for the SOPHIE data was subtracted from the RVs (γSOPHIE = −4.6816 km s-1). Lower panel: residuals from the RV orbital fit plotted against time.

Current usage metrics show cumulative count of Article Views (full-text article views including HTML views, PDF and ePub downloads, according to the available data) and Abstracts Views on Vision4Press platform.

Data correspond to usage on the plateform after 2015. The current usage metrics is available 48-96 hours after online publication and is updated daily on week days.

Initial download of the metrics may take a while.