Free Access

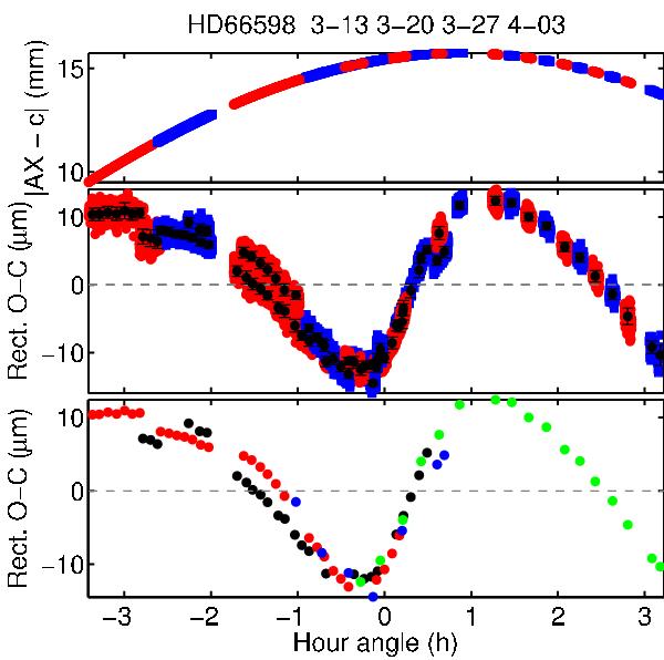
Fig. C.6

thumbnail

Result of the combined fit of four epochs spanning over 56 days for HD 66598. The colour coding and panel definition is similar to Fig. 28, except that each colour in the bottom panel marks the data of one epoch.

Current usage metrics show cumulative count of Article Views (full-text article views including HTML views, PDF and ePub downloads, according to the available data) and Abstracts Views on Vision4Press platform.

Data correspond to usage on the plateform after 2015. The current usage metrics is available 48-96 hours after online publication and is updated daily on week days.

Initial download of the metrics may take a while.