Free Access

Fig. 1

thumbnail

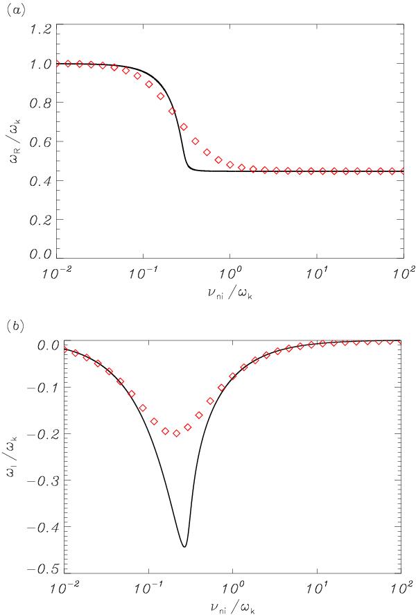
a)ωR/ωk and b) ωI/ωk versus νni/ωk for the transverse kink (m = 1) mode with kzR = 0.1, ρi,0/ρi,ex = 3, cie,0/cA,0 = 0.2, and χ = 4. The solid line is the result obtained by numerically solving the dispersion relation in the absence of neutral pressure (Eq. (37)). The symbols are the approximate analytic results in the weak damping approximation (Eqs. (43) and (44)).

This figure is made of several images, please see below:

Current usage metrics show cumulative count of Article Views (full-text article views including HTML views, PDF and ePub downloads, according to the available data) and Abstracts Views on Vision4Press platform.

Data correspond to usage on the plateform after 2015. The current usage metrics is available 48-96 hours after online publication and is updated daily on week days.

Initial download of the metrics may take a while.