Free Access

Fig. 1

thumbnail

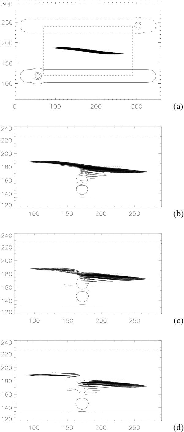
a) Initial condition of a linear force-free field for α = −2.93 × 10-8 m-1 where dips in the field lines (thick black lines) are plotted to one PSH and viewed from above. The solid/dashed black contours denote positive/negative values of Bz at levels of ± 70, ± 50, ± 1 Gauss. Physical dimensions are given in Mm. In panels b) to d) a close up view of the area enclosed by the dotted box in the panel a) can be seen after 1000, 2000 and 3000, 60 s long time-steps after the bipole has been inserted.

This figure is made of several images, please see below:

Current usage metrics show cumulative count of Article Views (full-text article views including HTML views, PDF and ePub downloads, according to the available data) and Abstracts Views on Vision4Press platform.

Data correspond to usage on the plateform after 2015. The current usage metrics is available 48-96 hours after online publication and is updated daily on week days.

Initial download of the metrics may take a while.