Free Access

Fig. 21

thumbnail

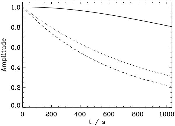
Damping envelopes for the standing kink mode observed by Van Doorsselaere et al. (2008). The solid line shows the Gaussian damping profile (Eq. (16)) expected to dominate oscillations in such a low density (ρ0/ρe = 1.2) loop. The dashed line shows the exponential damping profile based on Eq. (15). The dotted line is an exponential damping profile with 25% weaker damping calculated by Van Doorsselaere et al. (2004) for a fully inhomogeneous model.

Current usage metrics show cumulative count of Article Views (full-text article views including HTML views, PDF and ePub downloads, according to the available data) and Abstracts Views on Vision4Press platform.

Data correspond to usage on the plateform after 2015. The current usage metrics is available 48-96 hours after online publication and is updated daily on week days.

Initial download of the metrics may take a while.