Free Access

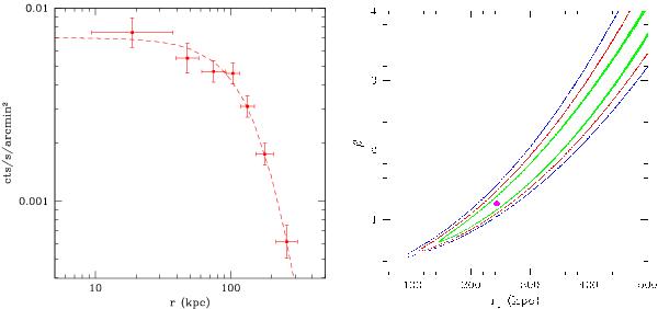
Fig. 4

thumbnail

Left: background-subtracted surface brightness profile in the soft (0.5−2 keV) band (points) and best-fit β model (red dashed line) for CXO1415. Error bars correspond to 1σ uncertainty. Right: 1-2-3σ confidence levels for two relevant parameters in the β − rc parameter space.

This figure is made of several images, please see below:

Current usage metrics show cumulative count of Article Views (full-text article views including HTML views, PDF and ePub downloads, according to the available data) and Abstracts Views on Vision4Press platform.

Data correspond to usage on the plateform after 2015. The current usage metrics is available 48-96 hours after online publication and is updated daily on week days.

Initial download of the metrics may take a while.