Free Access

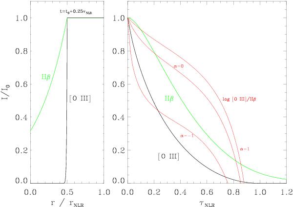
Fig. 5

thumbnail

Temporal evolution of the [O III] and Hβ intensity following a drop in the nuclear radiation field for a spherical NLR of radius 1 kpc, with an initial emissivity law dropping as r-2, and a density ne = 100      cm-3. Left panel: emissivity at each radius after  ~1500 years. Right panel: temporal evolution of the total lines intensity and of their ratio. We also report the changes of ratio with time for different emissivity laws in the form of r−2 + α, with α =  ± 1.

Current usage metrics show cumulative count of Article Views (full-text article views including HTML views, PDF and ePub downloads, according to the available data) and Abstracts Views on Vision4Press platform.

Data correspond to usage on the plateform after 2015. The current usage metrics is available 48-96 hours after online publication and is updated daily on week days.

Initial download of the metrics may take a while.