Free Access

Fig. 3

thumbnail

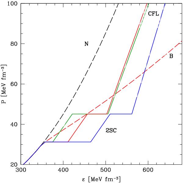
Examples of EOS.BQ from a continuum { EOS.BQ } emerging from a soft SR EOS. Hadronic EOSs are plotted as dashed lines: N – nucleon EOS; B – nucleons and hyperons. The phase transition B→Q(2SC) takes place at P1 = 31  MeV  fm-3, and Q(2SC)→Q(CFL) at P2 = 45  MeV  fm-3. The 2SC phase has a2SC = 0.302. Three examples of B → Q(2SC)→Q(CFL) are shown corresponding to following choices of { λ2SC,λCFL,aCFL }: { 1.05,1.2,0.57 }, { 1.15,1.1,0.58 }, { 1.3,1.1,0.7 }. In all these cases the maximum mass is equal to 2  M, i.e., parameters { λ2SC,λCFL,aCFL } lie on the bounding curves in Fig. 7. (This figure is available in color in the electronic form.)

Current usage metrics show cumulative count of Article Views (full-text article views including HTML views, PDF and ePub downloads, according to the available data) and Abstracts Views on Vision4Press platform.

Data correspond to usage on the plateform after 2015. The current usage metrics is available 48-96 hours after online publication and is updated daily on week days.

Initial download of the metrics may take a while.