Free Access

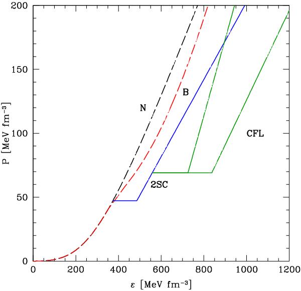
Fig. 4

thumbnail

Examples of EOS.BQ from a continuum { EOS.BQ } emerging from a stiff MB165 EOS. Hadronic EOSs are plotted as dashed lines: N – nucleon EOS (black); B – nucleons and hyperons (red). The phase transition B →Q(2SC) takes place at P1 = 47  MeV  fm-3, a2SC = 0.302 and λ2SC = 1.3. EOS.Q(2SC) is plotted as a blue line. Two examples of Q(2SC)→Q(CFL) at P2 = 69  MeV  fm-3 are shown, corresponding to a stiffer CFL phase (aCFL = 0.6, λ2SC = 1.3) and a softer phase (aCFL = 0.35, λ2SC = 1.5). The EOS.Q(CFL)s are plotted as green solid lines. (This figure is available in color in the electronic form.)

Current usage metrics show cumulative count of Article Views (full-text article views including HTML views, PDF and ePub downloads, according to the available data) and Abstracts Views on Vision4Press platform.

Data correspond to usage on the plateform after 2015. The current usage metrics is available 48-96 hours after online publication and is updated daily on week days.

Initial download of the metrics may take a while.