Free Access

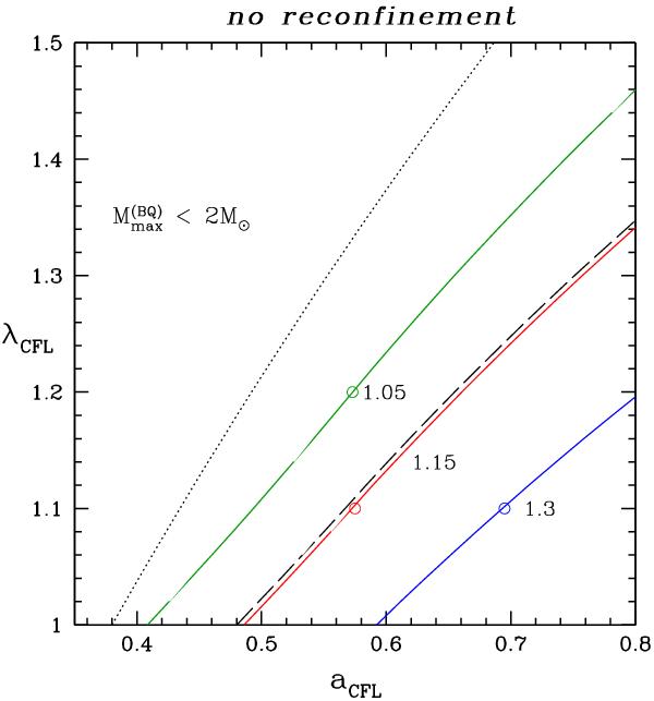
Fig. 7

thumbnail

Constraints on the a − λ plane, resulting from Mmax > 2  M, obtained assuming an SR EOS of baryon matter and a quark core starting at P1 = 31  MeV  fm-3. Each line is an upper boundary of the region of (aCFL,λCFL) consistent with Mmax > 2  M. The solid lines are obtained for quark cores composed of a 2SC layer (P1 < P < P2) and a CFL core starting at P2 = 45  MeV  fm-3. These lines are labeled by the density jump at the B-2SC interface λ2SC = 1.05,1.15,1.30. We used a2SC = 0.3 (Agrawal 2010). The dashed line is obtained for purely CFL cores (no 2SC layer) starting at P2 = 45  MeV  fm-3, and the dotted line corresponds to purely CFL cores starting at P1, i.e., replacing the 2SC with the CFL phase. Open circles correspond to EOSs presented in Fig. 3. (This figure is available in color in the electronic form.)

Current usage metrics show cumulative count of Article Views (full-text article views including HTML views, PDF and ePub downloads, according to the available data) and Abstracts Views on Vision4Press platform.

Data correspond to usage on the plateform after 2015. The current usage metrics is available 48-96 hours after online publication and is updated daily on week days.

Initial download of the metrics may take a while.