Free Access

Fig. 8

thumbnail

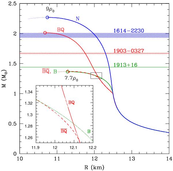
Mass M vs. radius R for non-rotating NS models calculated using different assumptions concerning the structure of dense matter for ρ > 2ρ0. Dotted segments of M(R) curves: configurations unstable with respect to small radial perturbations. N – nucleon matter, Argonne V18+TBF nucleon interaction (Schulze & Rijken 2011). B – baryon matter, EOS calculated using hyperon-nucleon and hyperon-hyperon potentials Nijmegen ESC08 (Rijken et al. 2010a,b). Open circles – configurations of maximum allowable mass, with central density given in units of ρ0. BQ – hybrid stars with quark cores, when reconfinement is not allowed. – hybrid stars with stable quark cores, when the condition is always satisfied and the high-density reconfinement is allowed. Analytical EOS of quark matter in the CFL state with ρ2 = 2.35ρ0, aCFL = 0.5, λCFL = 1.2. Enlarged rectangle: vicinity of the high-density first-order phase transition Q→B (reconfinement). (This figure is available in color in the electronic form.)

Current usage metrics show cumulative count of Article Views (full-text article views including HTML views, PDF and ePub downloads, according to the available data) and Abstracts Views on Vision4Press platform.

Data correspond to usage on the plateform after 2015. The current usage metrics is available 48-96 hours after online publication and is updated daily on week days.

Initial download of the metrics may take a while.