Free Access

Fig. 9

thumbnail

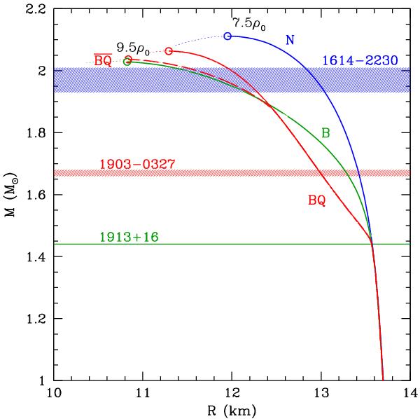
Same notations as in Fig. 8, but for BM165 EOS of nucleon and baryon matter (Bednarek et al. 2012). Analytical EOS of quark matter and EOS.Q(CFL) with ρ2 = 2.5ρ0, aCFL = 0.5, λCFL = 1.2. (This figure is available in color in the electronic form.)

Current usage metrics show cumulative count of Article Views (full-text article views including HTML views, PDF and ePub downloads, according to the available data) and Abstracts Views on Vision4Press platform.

Data correspond to usage on the plateform after 2015. The current usage metrics is available 48-96 hours after online publication and is updated daily on week days.

Initial download of the metrics may take a while.