Free Access

Fig. 11

thumbnail

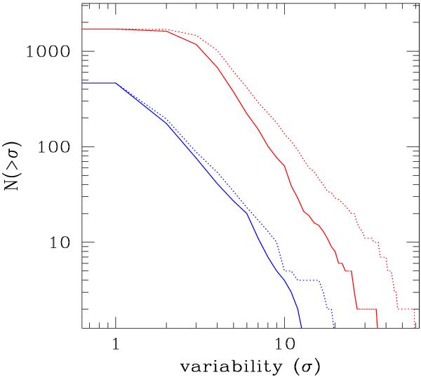
Cumulative distribution of the statistical significance of the variability for sources with five observations or more. Red (blue) lines refer to the soft (hard) band. Solid (dotted) lines refer to the variability significance of the minimum (maximum) flux values with respect to the average ones.

Current usage metrics show cumulative count of Article Views (full-text article views including HTML views, PDF and ePub downloads, according to the available data) and Abstracts Views on Vision4Press platform.

Data correspond to usage on the plateform after 2015. The current usage metrics is available 48-96 hours after online publication and is updated daily on week days.

Initial download of the metrics may take a while.