Free Access

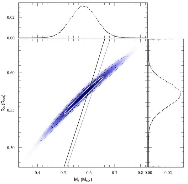
Fig. 3

thumbnail

Posterior probability density, output of the MCMC, showing the mass of the primary (drawn from a prior), and its radius (inferred from the transit signal). 1, 2, and 3σ confidence regions are drawn. The over-plotted grey line is the theoretical 0.5 Gyr mass-radius relationship from Baraffe et al. (1998), in black is the 8 Gyr relation (for solar metallicity). Side histograms show the marginalised parameters.

Current usage metrics show cumulative count of Article Views (full-text article views including HTML views, PDF and ePub downloads, according to the available data) and Abstracts Views on Vision4Press platform.

Data correspond to usage on the plateform after 2015. The current usage metrics is available 48-96 hours after online publication and is updated daily on week days.

Initial download of the metrics may take a while.