Free Access

Fig. 8

thumbnail

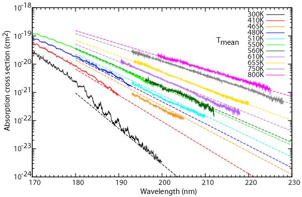
Absorption cross section of CO2 for wavelengths longer than 195 nm at 465 K, 510 K, 560 K, 610 K, 655 K, 750 K, and 800 K, plotted with the cross section at ambient temperature (black) and the absorption cross sections measured at shorter wavelengths and presented in Fig. 7 (300 K, 410 K, 480 K, and 550 K). The absorption cross sections calculated with Eq. (6) are plotted with the same color coding.

Current usage metrics show cumulative count of Article Views (full-text article views including HTML views, PDF and ePub downloads, according to the available data) and Abstracts Views on Vision4Press platform.

Data correspond to usage on the plateform after 2015. The current usage metrics is available 48-96 hours after online publication and is updated daily on week days.

Initial download of the metrics may take a while.