Free Access

Fig. 4

thumbnail

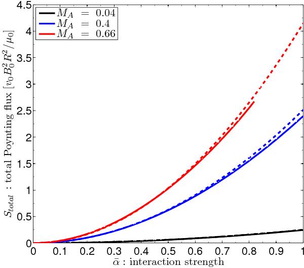
Total Poynting flux through a plane perpendicular to B0 as a function of the interaction strength for different Alfvén Mach numbers MA = 0.04, MA = 0.4 and MA = 0.66. The solid lines shows the solution of the full nonlinear expression (53) and the dashed lines the approximations given by (55). The background magnetic field B0 and the incident plasma flow v0 are assumed to be perpendicular, i.e. Θ = 0.

Current usage metrics show cumulative count of Article Views (full-text article views including HTML views, PDF and ePub downloads, according to the available data) and Abstracts Views on Vision4Press platform.

Data correspond to usage on the plateform after 2015. The current usage metrics is available 48-96 hours after online publication and is updated daily on week days.

Initial download of the metrics may take a while.