Free Access

Fig. 5

thumbnail

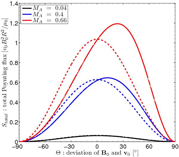
Total Poynting flux as a function of the angle Θ between the background magnetic field B0 and the incident plasma velocity v0. The angle Θ is zero, when B0 and v0 are perpendicular (see Fig. 1). The Poynting flux is symmetric with respect to 90°. For the planetary bodies under consideration in this work, Θ falls into the range 0 ≤ Θ ≤ 180°. Note that in this figure, we additionally show the range − 90° ≤ Θ ≤ 0° for cases where such an orientation of the magnetic field and the velocity occur. The interaction strength and the Alfvén Mach number are chosen as and MA = 0.04, MA = 0.4 and MA = 0.66, respectively. Solid lines are calculated with the full expression for the Poynting flux of Eq. (53) and dashed lines are calculated with the approximation of Eq. (55).

Current usage metrics show cumulative count of Article Views (full-text article views including HTML views, PDF and ePub downloads, according to the available data) and Abstracts Views on Vision4Press platform.

Data correspond to usage on the plateform after 2015. The current usage metrics is available 48-96 hours after online publication and is updated daily on week days.

Initial download of the metrics may take a while.