Free Access

Fig. 3

thumbnail

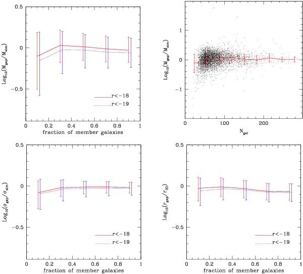
Top left: ratio between the estimated and actual masses of group-size dark matter haloes as a function of the fraction of group members with recessional velocity measurements, as obtained from the numerical simulations presented in this work. Top right: ratio between the estimated and actual masses of group-size dark matter haloes as a function of the number of member galaxies. Bottom left: ratio between the velocity dispersion as estimated with the gapper method and as obtained from the actual group members in the simulation. Bottom right: ratio between the deprojected virial radius and the mean 3D radius of actual groups members in the simulation, as a function of the fraction of members. The solid red lines show the results when using only members with absolute magnitudes brighter than Mr = −18, and the dotted blue lines for members brighter than Mr = −19. Errorbars enclose 68% of the measurements in each bin of fraction.

This figure is made of several images, please see below:

Current usage metrics show cumulative count of Article Views (full-text article views including HTML views, PDF and ePub downloads, according to the available data) and Abstracts Views on Vision4Press platform.

Data correspond to usage on the plateform after 2015. The current usage metrics is available 48-96 hours after online publication and is updated daily on week days.

Initial download of the metrics may take a while.