Free Access

Fig. 11

thumbnail

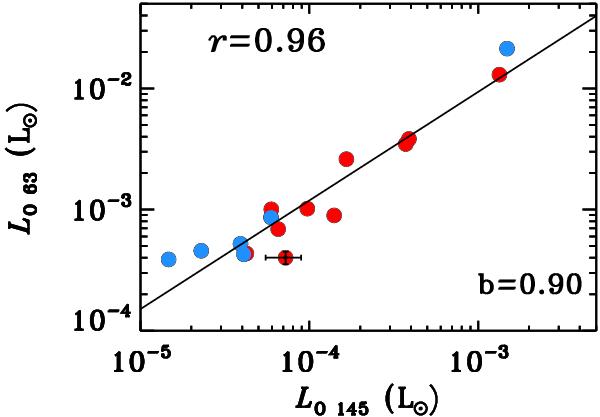
Full array correlation between the [O i] line luminosities at 145 and 63 μm for 16 out of 18 objects (the [O i] 145 line is not detected in NGC 1333-IRAS2A and 4B). Class 0 sources are shown in red and Class I sources in blue. A typical error is shown on the NGC 1333-IRAS4A observation.

Current usage metrics show cumulative count of Article Views (full-text article views including HTML views, PDF and ePub downloads, according to the available data) and Abstracts Views on Vision4Press platform.

Data correspond to usage on the plateform after 2015. The current usage metrics is available 48-96 hours after online publication and is updated daily on week days.

Initial download of the metrics may take a while.