Highlight
Free Access

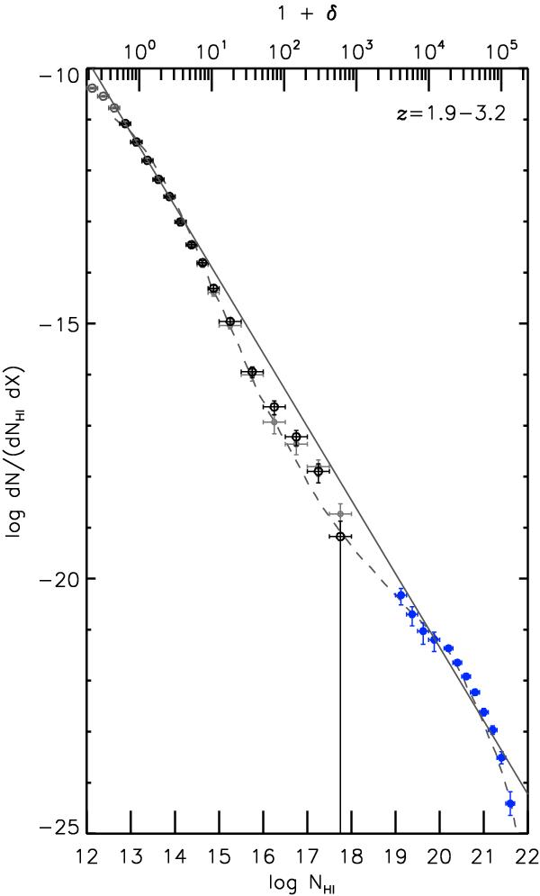
Fig. 10

thumbnail

Differential column density distribution at 1.9 < z < 3.2 of our quasar sample using the high-order Lyman fit. Black and grey data points show the results from our quasar sample. The grey data points below log  Ni < 12.75 mark the column densities that are affected by incompleteness. The grey data points above log  Ni > 12.75 represent the results from the Lyα-only fit. The dashed line represents a theoretical prediction at z ~ 3 by Altay et al. (2011). The vertical error bars indicate 1σ Poisson errors, while the x-axis error bars show the Ni range covered by each data point. The filled circles at log  Ni > 20.1 and at 19.0 < log  Ni < 20.1 are from the SDSS II DR7 at ⟨ z ⟩ = 3.02 by Noterdaeme et al. (2009) and from O’Meara et al. (2007) at ⟨ z ⟩ = 3.1, respectively. The solid line gives the power law fit to our data for log  Ni = [12.75,14.0]. The overdensity plotted on the top x-axis is calculated at z = 2.55.

Current usage metrics show cumulative count of Article Views (full-text article views including HTML views, PDF and ePub downloads, according to the available data) and Abstracts Views on Vision4Press platform.

Data correspond to usage on the plateform after 2015. The current usage metrics is available 48-96 hours after online publication and is updated daily on week days.

Initial download of the metrics may take a while.