Free Access

Fig. C.1

thumbnail

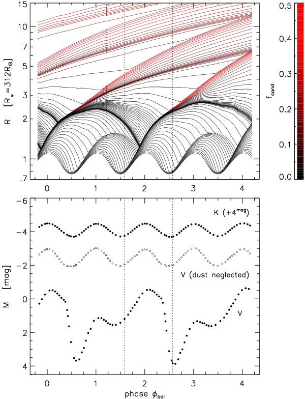
Upper panel: movement of the outer layers of a specific dynamic model atmosphere with dust formation occuring every second pulsation period (Appendix A). Colour-coded is the degree of condensation of carbon atoms into amorphous carbon dust particles. Lower panel: synthetic lightcurves for the broad-band filters V and K (filled circles), together with the corresponding photometry for which the dust opacities were neglected (open circles). Note that the K-lightcurves were shifted by 3mag to better fit into one panel.

Current usage metrics show cumulative count of Article Views (full-text article views including HTML views, PDF and ePub downloads, according to the available data) and Abstracts Views on Vision4Press platform.

Data correspond to usage on the plateform after 2015. The current usage metrics is available 48-96 hours after online publication and is updated daily on week days.

Initial download of the metrics may take a while.