Free Access

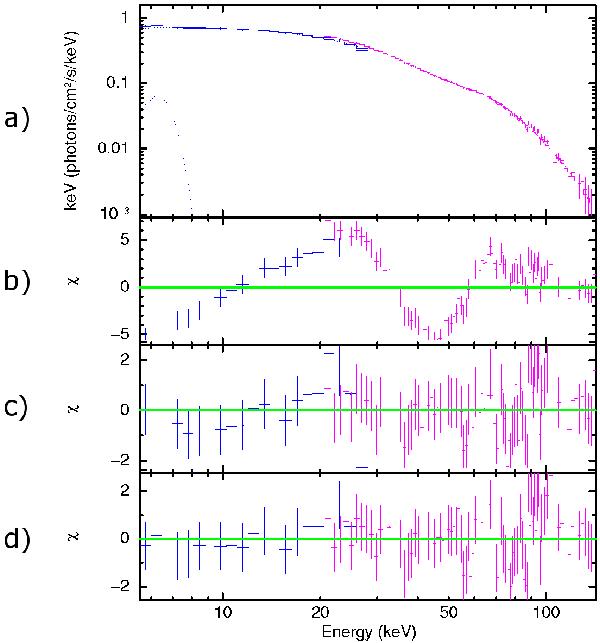
Fig. 2

thumbnail

Unfolded spectrum of A 0535+26 from the INTEGRAL revolution 0912 a), the residuals of the fit with the model without the 6.4 keV Fe emission and the cyclotron absorption lines b), the residuals after inclusion in the model of the cyclotron absorption line c) and the Fe emission line d).

Current usage metrics show cumulative count of Article Views (full-text article views including HTML views, PDF and ePub downloads, according to the available data) and Abstracts Views on Vision4Press platform.

Data correspond to usage on the plateform after 2015. The current usage metrics is available 48-96 hours after online publication and is updated daily on week days.

Initial download of the metrics may take a while.