Free Access

Fig. 12

thumbnail

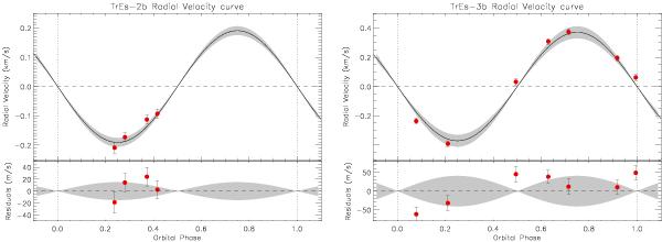
Radial velocity curves for two well-known extra solar planets, TrEs-2b (left panel), and TrEs-3b (right panel), derived from the early measurements taken during the CAFE commissioning run. Red circles represent the derived values for the radial velocity. The black solid line represents the theoretical curve assuming the simple expression , where a is the semi-major axis, P is the orbital period, i is the orbital inclination, and φ is the orbital phase. The shaded region was calculated by error propagation of the published values in the previous expression. The lower panel shows the residuals for the fit.

This figure is made of several images, please see below:

Current usage metrics show cumulative count of Article Views (full-text article views including HTML views, PDF and ePub downloads, according to the available data) and Abstracts Views on Vision4Press platform.

Data correspond to usage on the plateform after 2015. The current usage metrics is available 48-96 hours after online publication and is updated daily on week days.

Initial download of the metrics may take a while.