Free Access

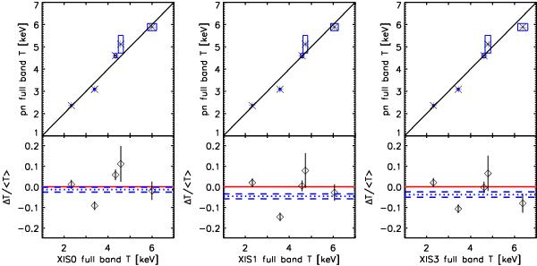
Fig. 13

thumbnail

Upper panel: best-fit full band temperatures (asterisks) and 1σ uncertainties (boxes) for XMM-Newton/EPIC-pn and Suzaku/XIS instruments using the public calibration. The solid black line is an identity line, drawn as a reference. Lower panel: relative temperature differences fT (diamonds) between XMM-Newton/EPIC-pn and Suzaku/XIS instruments, and their 1σ uncertainties. The dotted and dashed lines show the weighted means of the relative temperature difference and corresponding uncertainties.

Current usage metrics show cumulative count of Article Views (full-text article views including HTML views, PDF and ePub downloads, according to the available data) and Abstracts Views on Vision4Press platform.

Data correspond to usage on the plateform after 2015. The current usage metrics is available 48-96 hours after online publication and is updated daily on week days.

Initial download of the metrics may take a while.