Free Access

Fig. 17

thumbnail

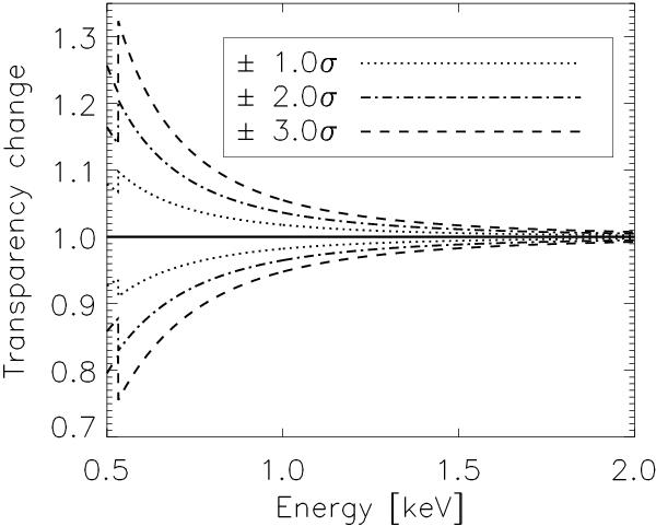
Change of the transparency of the 2006-10-27 OBF contaminant when the oxygen column density is varied by ±1.0σ (dotted lines), 2.0σ (dashed and dotted lines), and 3.0σ (dashed lines) while keeping the relative abundance of the other elements fixed.

Current usage metrics show cumulative count of Article Views (full-text article views including HTML views, PDF and ePub downloads, according to the available data) and Abstracts Views on Vision4Press platform.

Data correspond to usage on the plateform after 2015. The current usage metrics is available 48-96 hours after online publication and is updated daily on week days.

Initial download of the metrics may take a while.