Free Access

Fig. 2

thumbnail

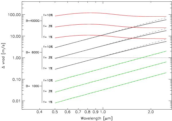
Toy model RV signal caused by the Zeeman effect from a co-rotating magnetic spot with zero temperature contrast. The signal is calculated for three different field strengths inside the spot (green: 100 G, black: 600 G, and red: 4000 G); for each case three different spot sizes are used (f = 1%,3%, and 10%). Gray dashed lines show an analytical approximation of the scaling using Eq. (2). The dotted line visualizes the 1 m s-1 limit.

Current usage metrics show cumulative count of Article Views (full-text article views including HTML views, PDF and ePub downloads, according to the available data) and Abstracts Views on Vision4Press platform.

Data correspond to usage on the plateform after 2015. The current usage metrics is available 48-96 hours after online publication and is updated daily on week days.

Initial download of the metrics may take a while.