Free Access

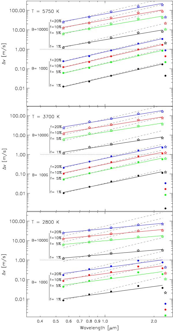
Fig. 5

thumbnail

Zeeman RV signature of co-rotating magnetic spots calculated from polarized radiative transfer over several wavelength bands. Stars and filled circles indicate the six wavelength bands where the RV signature was measured, a fit to the first five bands using a straight line is shown as a solid line for each case (the CO band is not included in the fit). Dashed lines show the scaling expected from our our toy model, i.e., a = 2 in Eq. (3).

This figure is made of several images, please see below:

Current usage metrics show cumulative count of Article Views (full-text article views including HTML views, PDF and ePub downloads, according to the available data) and Abstracts Views on Vision4Press platform.

Data correspond to usage on the plateform after 2015. The current usage metrics is available 48-96 hours after online publication and is updated daily on week days.

Initial download of the metrics may take a while.