Free Access

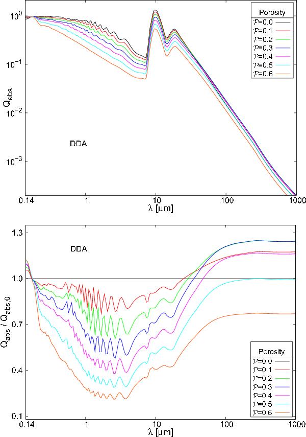
Fig. 3

thumbnail

Wavelength-dependent absorption cross section Qabs as a function of porosity . The particle radius is a = 1.0  μm. Note the two characteristic silicate peaks at λ ~ 10  μm and 18  μm. In the bottom image the results are normalized to the values of compact spheres, Qabs,0.

Current usage metrics show cumulative count of Article Views (full-text article views including HTML views, PDF and ePub downloads, according to the available data) and Abstracts Views on Vision4Press platform.

Data correspond to usage on the plateform after 2015. The current usage metrics is available 48-96 hours after online publication and is updated daily on week days.

Initial download of the metrics may take a while.