Free Access

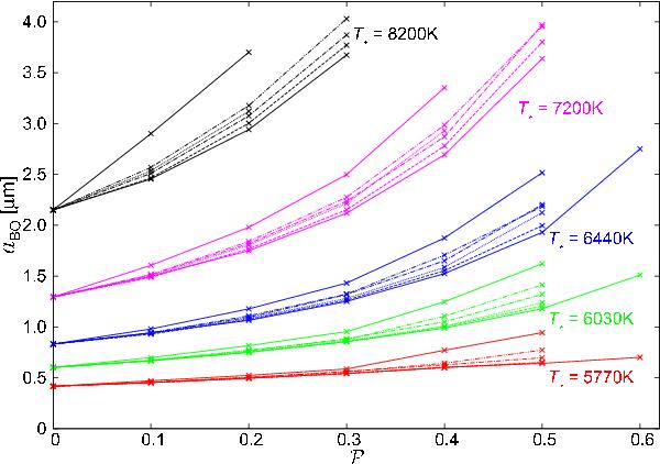
Fig. 7

thumbnail

Blowout size aBO as a function of porosity and stellar temperature T for various number of dipoles. Different colors represent different temperatures. The values for the special particle presented in Sect. 2.3 are illustrated as the solid line.

Current usage metrics show cumulative count of Article Views (full-text article views including HTML views, PDF and ePub downloads, according to the available data) and Abstracts Views on Vision4Press platform.

Data correspond to usage on the plateform after 2015. The current usage metrics is available 48-96 hours after online publication and is updated daily on week days.

Initial download of the metrics may take a while.