Free Access

Fig. 11

thumbnail

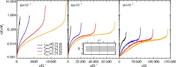
Particle growth for different radial extents of the simulation box and turbulence strengths. The mean particle size ⟨ R ⟩ is shown as a function of time in inverse Keplerian orbits Ω-1 for α = 10-2 (left panel), α = 10-3 (middle panel) and α = 10-4 (right panel). The size of the box has been extended in the radial direction, with rmax colour coded as: black 0.75 H, blue 2.25 H, red 3.75 H and yellow 5.25 H. For all runs zmin =  −6.0 H, zmax = 6.0 H and rmin =  −0.75 H. The inlay figure shows the simulation domain, with the considered radial extents marked.

Current usage metrics show cumulative count of Article Views (full-text article views including HTML views, PDF and ePub downloads, according to the available data) and Abstracts Views on Vision4Press platform.

Data correspond to usage on the plateform after 2015. The current usage metrics is available 48-96 hours after online publication and is updated daily on week days.

Initial download of the metrics may take a while.