Free Access

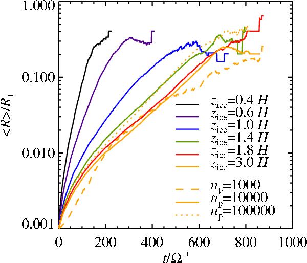
Fig. 8

thumbnail

Mean ice particle size ⟨ R ⟩ as a function of time in inverse Keplerian orbits Ω-1 for simulations including both radial and atmospheric ice lines. The height of the atmospheric ice line above the midplane zice is denoted as: black 0.4 H, violet 0.6 H, blue 1.0 H, green 1.4 H, red 1.8 H and yellow 3.0 H. For the runs with zice = 3.0 H, the dashed line corresponds to 1000 particles and the dotted line to 100 000 particles. Full lines denote runs with 10 000 particles. The position of the radial ice line is rice =  −0.3 H, and the strength of turbulence is α = 10-2.

Current usage metrics show cumulative count of Article Views (full-text article views including HTML views, PDF and ePub downloads, according to the available data) and Abstracts Views on Vision4Press platform.

Data correspond to usage on the plateform after 2015. The current usage metrics is available 48-96 hours after online publication and is updated daily on week days.

Initial download of the metrics may take a while.