Free Access

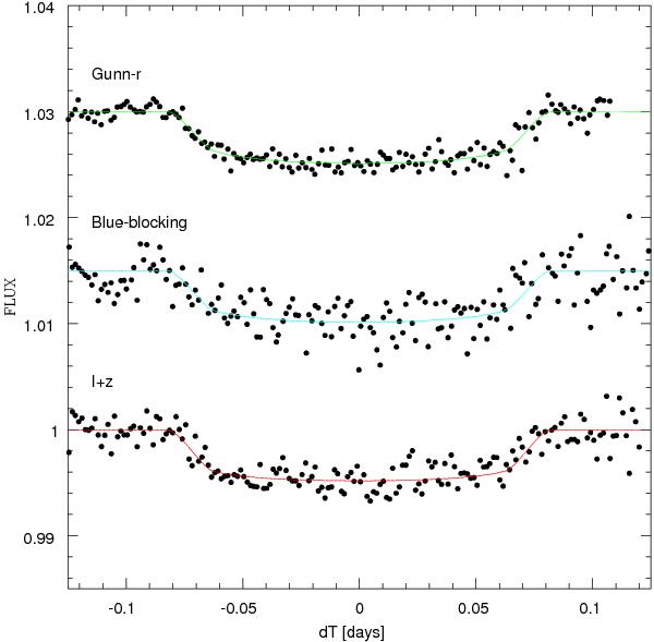
Fig. 11

thumbnail

Combined follow-up transit photometry for WASP-72 b, detrended, period-folded and binned per intervals of 2 min. For each filter, the best-fit transit model from the global MCMC analysis is superimposed. The Gunn-r and blue-blocking light curves are shifted along the y-axis for the sake of clarity.

Current usage metrics show cumulative count of Article Views (full-text article views including HTML views, PDF and ePub downloads, according to the available data) and Abstracts Views on Vision4Press platform.

Data correspond to usage on the plateform after 2015. The current usage metrics is available 48-96 hours after online publication and is updated daily on week days.

Initial download of the metrics may take a while.