Free Access

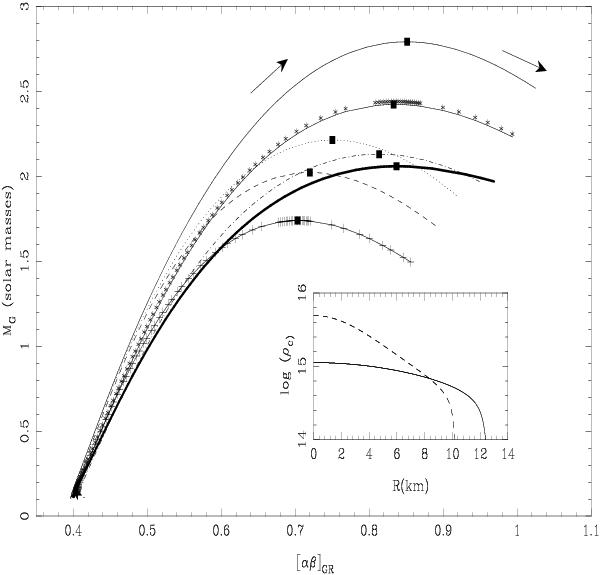
Fig. 4

thumbnail

Mass-[αβ]GR relation for neutron stars, including unstable models. The two arrows indicate the direction of increasing central density and the full squares denote the Mmax. The same symbols as in Fig. 3. Lower right corner inset: mass-energy distribution for a stable (continuous line) and unstable (dashed line) model with similar masses using DD2 EOS.

Current usage metrics show cumulative count of Article Views (full-text article views including HTML views, PDF and ePub downloads, according to the available data) and Abstracts Views on Vision4Press platform.

Data correspond to usage on the plateform after 2015. The current usage metrics is available 48-96 hours after online publication and is updated daily on week days.

Initial download of the metrics may take a while.