Free Access

Fig. 9

thumbnail

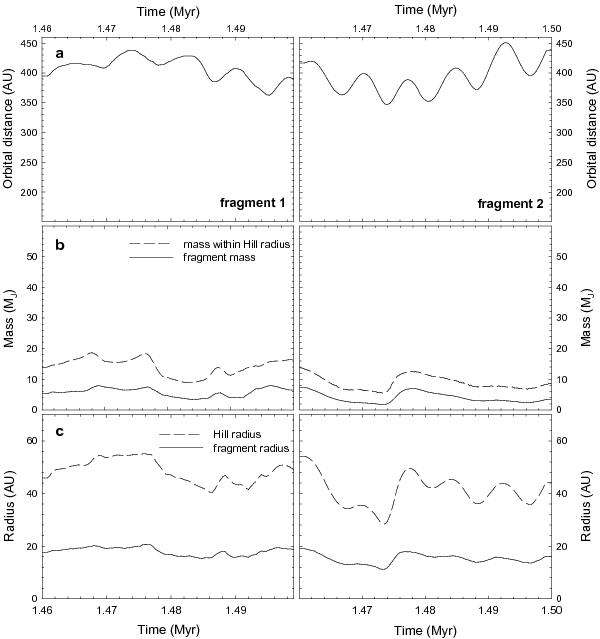
Main characteristics of fragment 1 (left column) and fragment 2 (right column) in model 3 before the least massive of them (fragment 2) has dispersed. In particular, panel a) presents the orbital distance of the fragments, panel b) the masses of the fragments (solid lines) and masses confined within the Hill radii (dashed lines), and panel c) denotes the radii of the fragments (solid lines) and their Hill radii (dashed lines).

Current usage metrics show cumulative count of Article Views (full-text article views including HTML views, PDF and ePub downloads, according to the available data) and Abstracts Views on Vision4Press platform.

Data correspond to usage on the plateform after 2015. The current usage metrics is available 48-96 hours after online publication and is updated daily on week days.

Initial download of the metrics may take a while.