Free Access

Fig. 4

thumbnail

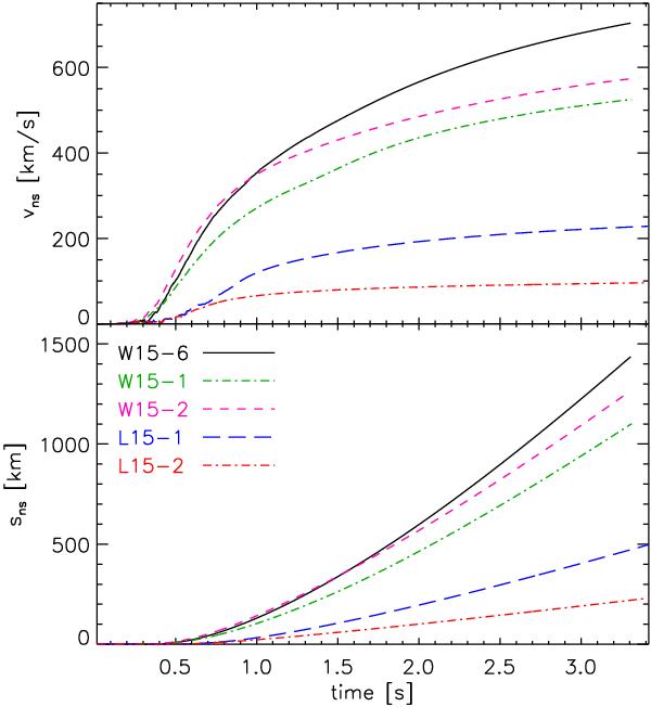
Long-time evolution of the NS velocity (top) and of the corresponding NS displacement (bottom) for models W15-6, W15-1, W15-2, L15-1, and L15-2. The displacement of the kicked NS from the coordinate center, although not taken into account in our simulations, can be estimated by time integration of the NS velocity. Within 3.3 s the NS in model W15-6 exceeds a velocity of 700 km s-1 and continues to be accelerated at a modest rate. Note also that the NS velocities in models L15-1 and L15-2 have nearly reached their terminal values after 3 s. In all cases the NS shift relative to the coordinate center is negligibly small before the explosion takes off, and even in model W15-6 with its most extreme NS kick it is always dwarfed by the diameter of the shock wave and postshock ejecta, which expand with typically  ~10 000 km s-1.

Current usage metrics show cumulative count of Article Views (full-text article views including HTML views, PDF and ePub downloads, according to the available data) and Abstracts Views on Vision4Press platform.

Data correspond to usage on the plateform after 2015. The current usage metrics is available 48-96 hours after online publication and is updated daily on week days.

Initial download of the metrics may take a while.