Press Release
Free Access

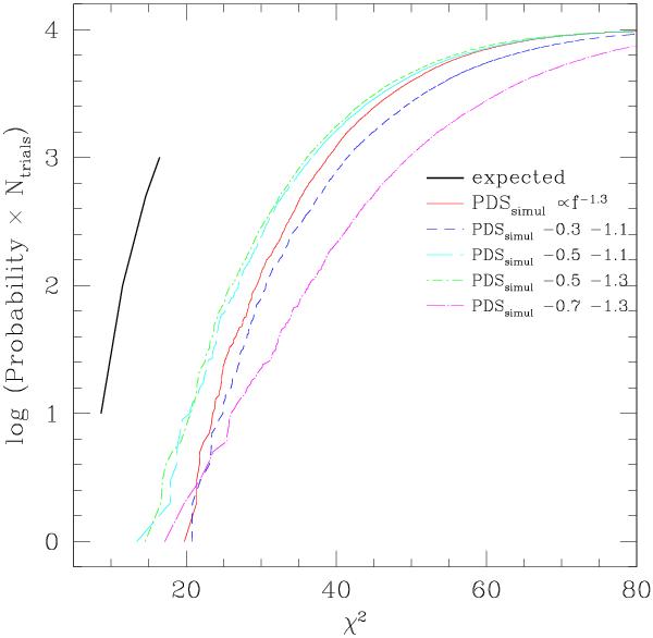
Fig. 10

thumbnail

Probability multiplied by number of trials (Ntrials = 10 000) against χ2 for simulated single and broken power-law models. The solid black curve points out expected probability of a perfect model. The best fit by a single power law is obtained with a slope = –1.3. Broken power laws with the low-frequency slope = –0.5, the high-frequency slope between –1.1 and –1.3, and with broken frequency = 0.001 Hz provide a slightly better description of the observed power spectrum.

Current usage metrics show cumulative count of Article Views (full-text article views including HTML views, PDF and ePub downloads, according to the available data) and Abstracts Views on Vision4Press platform.

Data correspond to usage on the plateform after 2015. The current usage metrics is available 48-96 hours after online publication and is updated daily on week days.

Initial download of the metrics may take a while.