Press Release
Free Access

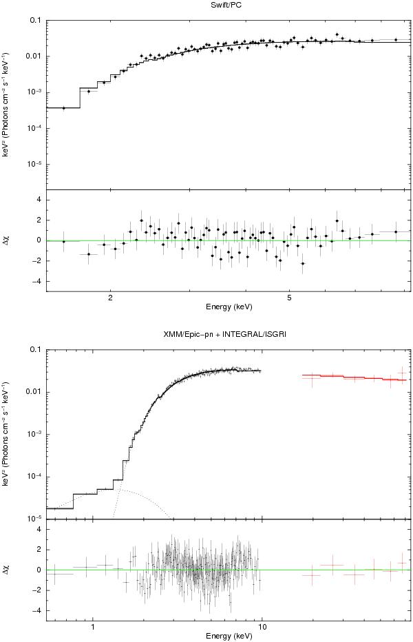
Fig. 6

thumbnail

Unfolded spectrum of IGR J12580+0134 from Swift observations made in PC mode (top) and unfolded XMM-Newton/Epic-pn and INTEGRAL/ISGRI spectra (bottom). The best-fit model (an absorbed power law in all spectra plus an unabsorbed black-body emission below 1 keV in case of Epic-pn observation) is shown by solid lines in both upper panels. Lower panels indicate the residuals (Δχ).

This figure is made of several images, please see below:

Current usage metrics show cumulative count of Article Views (full-text article views including HTML views, PDF and ePub downloads, according to the available data) and Abstracts Views on Vision4Press platform.

Data correspond to usage on the plateform after 2015. The current usage metrics is available 48-96 hours after online publication and is updated daily on week days.

Initial download of the metrics may take a while.