Free Access

Fig. 1

thumbnail

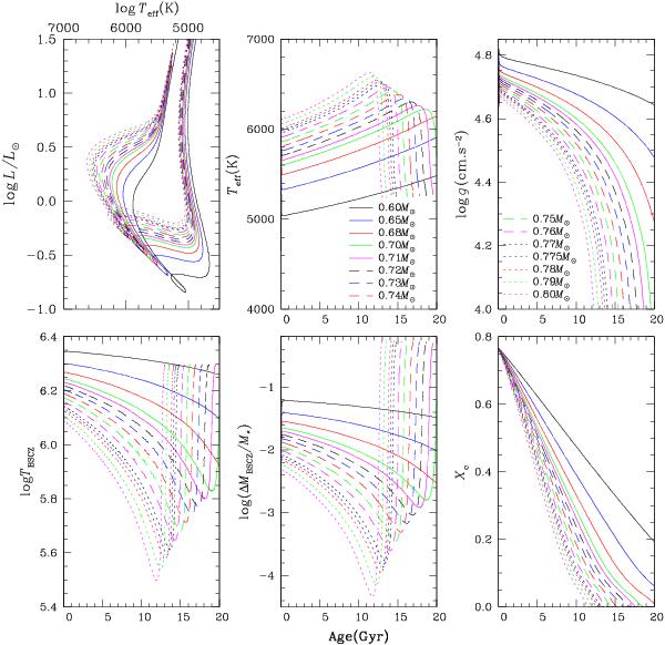
The Hertzprung-Russel diagram, as well as the evolution of Teff, log g, the temperature at the base of the SCZ (TBSCZ), the outer mass at the base of the SCZ (ΔMBSCZ), and the mass fraction of hydrogen in the core (Xc) for stars of 0.6 − 0.8 M with Z0 = 0.00017 and  = 10-12M yr-1.

Current usage metrics show cumulative count of Article Views (full-text article views including HTML views, PDF and ePub downloads, according to the available data) and Abstracts Views on Vision4Press platform.

Data correspond to usage on the plateform after 2015. The current usage metrics is available 48-96 hours after online publication and is updated daily on week days.

Initial download of the metrics may take a while.