Free Access

Fig. 10

thumbnail

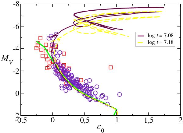
Absolute magnitude MV against intrinsic colour c0 for B-type stars in NGC 7419. Open squares are stars catalogued as Be stars. The thick line represents the ZAMS from Perry et al. (1987). Two isochrones of Marigo et al. (2008), corresponding to log t = 7.08 and log t = 7.18, are labelled with their respective log t.

Current usage metrics show cumulative count of Article Views (full-text article views including HTML views, PDF and ePub downloads, according to the available data) and Abstracts Views on Vision4Press platform.

Data correspond to usage on the plateform after 2015. The current usage metrics is available 48-96 hours after online publication and is updated daily on week days.

Initial download of the metrics may take a while.