Free Access

Fig. 6

thumbnail

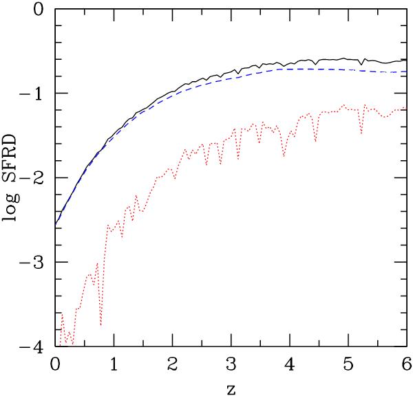
Contribution to the cosmic SFRD of galaxies with SFR ≥ 1.4 × 10-6  M/yr (corresponding to UV luminosity LUV ≳ 1015 W Hz1 when adopting the calibration given in Kennicutt 1998) as a function of redshift (solid line). Dashed line indicates the contribution of galaxies dominated by the quiescent mode of star formation, while dotted line indicates the contribution of galaxies dominated by the burst mode of star formation.

Current usage metrics show cumulative count of Article Views (full-text article views including HTML views, PDF and ePub downloads, according to the available data) and Abstracts Views on Vision4Press platform.

Data correspond to usage on the plateform after 2015. The current usage metrics is available 48-96 hours after online publication and is updated daily on week days.

Initial download of the metrics may take a while.