Free Access

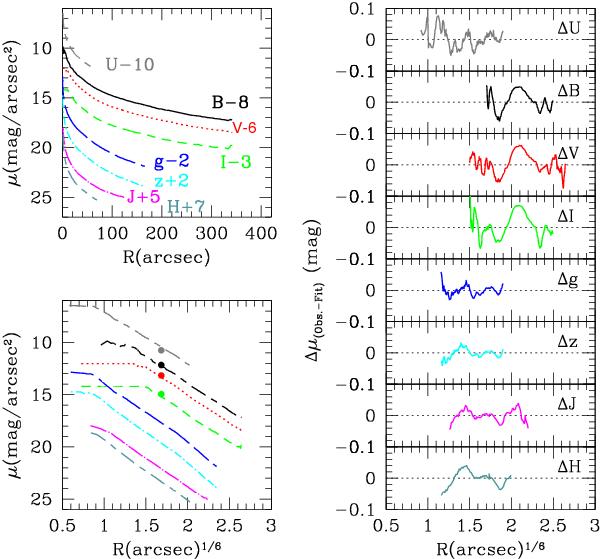
Fig. 6

thumbnail

Upper left panel: UF336w/WFC3/UVIS, BVI/FORS1, gF475WzF850LP/ACS, and JF110WHF160W/WFC3/IR surface brightness profiles for NGC 1316. Each band is shown with a different line style/colour. A vertical shift is applied for sake of clarity as labeled. Lower left panel: as upper left panel, but in R1/6 scale. The Sersic profile fitting procedure used leaves the n-index free to vary. Here we use the median n = 6 value, which is also consistent with Côté et al. (2007). The full dots are extrapolated from Carter et al. (1983), accordingly shifted for each band (see colour image). Right panels: the difference between observed and fitted surface brightness profiles. (See electronic version of the Journal for a colour version of the figure.)

Current usage metrics show cumulative count of Article Views (full-text article views including HTML views, PDF and ePub downloads, according to the available data) and Abstracts Views on Vision4Press platform.

Data correspond to usage on the plateform after 2015. The current usage metrics is available 48-96 hours after online publication and is updated daily on week days.

Initial download of the metrics may take a while.