Free Access

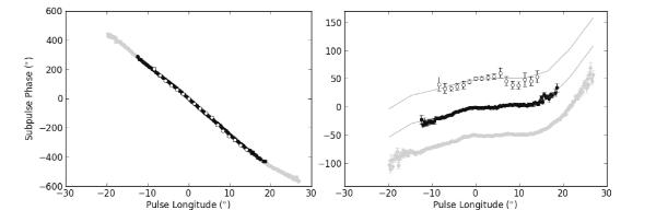
Fig. 2

thumbnail

The subpulse phase tracks of three LOFAR observations of PSR B0809+74 taken in March 2009 (white points), September 2009 (black points) and September 2011 (grey points). The right panel shows the same tracks with a slope of − 25°/° subtracted and offset by ± 50°, so that fine structure is easier to see. The grey line is a spline of the most recent observation so that data can be easily compared across epochs. The shape of the subpulse phase tracks are constant to within experimental uncertainties.

Current usage metrics show cumulative count of Article Views (full-text article views including HTML views, PDF and ePub downloads, according to the available data) and Abstracts Views on Vision4Press platform.

Data correspond to usage on the plateform after 2015. The current usage metrics is available 48-96 hours after online publication and is updated daily on week days.

Initial download of the metrics may take a while.