Free Access

Fig. 3

thumbnail

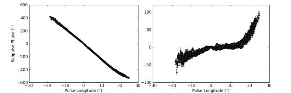
The subpulse phase tracks of 8 × 1.5 h blocks of a LOFAR HBA observation of PSR B0809+74, showing that the shape subpulse phase track remains approximately constant with time (typical spread is ~10°). The right panel shows the same tracks with a slope of − 25°/° subtracted, so that fine structure is easier to see.

Current usage metrics show cumulative count of Article Views (full-text article views including HTML views, PDF and ePub downloads, according to the available data) and Abstracts Views on Vision4Press platform.

Data correspond to usage on the plateform after 2015. The current usage metrics is available 48-96 hours after online publication and is updated daily on week days.

Initial download of the metrics may take a while.