Free Access

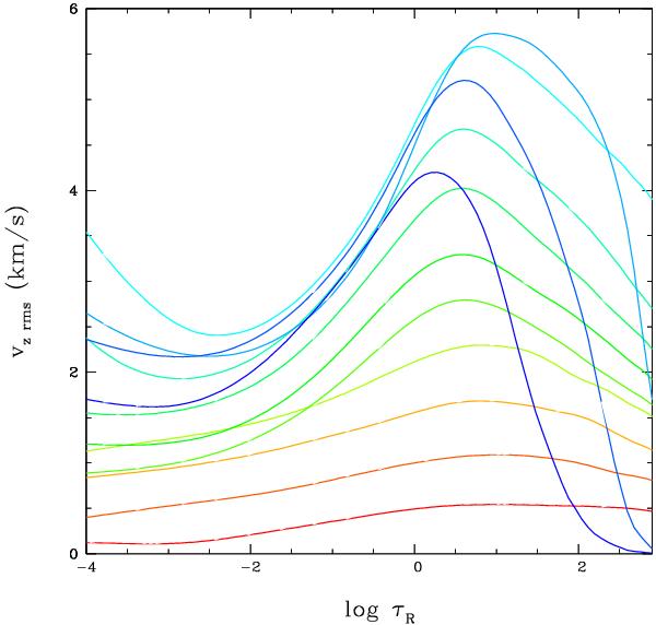
Fig. 10

thumbnail

Vertical rms velocity vz as a function of log τR for our sequence of ⟨ 3D ⟩ models from 6000 (lowest, red curve) over 10 000 (top, light blue curve) to 13 000 K (dark blue curve).

Current usage metrics show cumulative count of Article Views (full-text article views including HTML views, PDF and ePub downloads, according to the available data) and Abstracts Views on Vision4Press platform.

Data correspond to usage on the plateform after 2015. The current usage metrics is available 48-96 hours after online publication and is updated daily on week days.

Initial download of the metrics may take a while.