Free Access

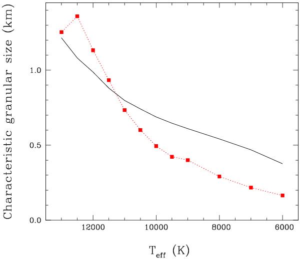
Fig. 14

thumbnail

Characteristic granular size (maximum of the mean power spectrum) as a function of Teff for our sequence of 3D simulations. The points are connected for clarity. The solid line is eight times the pressure scale height at τR = 2/3.

Current usage metrics show cumulative count of Article Views (full-text article views including HTML views, PDF and ePub downloads, according to the available data) and Abstracts Views on Vision4Press platform.

Data correspond to usage on the plateform after 2015. The current usage metrics is available 48-96 hours after online publication and is updated daily on week days.

Initial download of the metrics may take a while.