Free Access

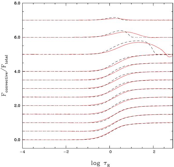
Fig. 9

thumbnail

Ratio of the convective to the total energy flux as a function of log τR for our sequence of ⟨ 3D ⟩ (red, solid) and 1D models (black, dashed), with the coolest model at the bottom, and the hottest model at the top. The ratio is exact for the 6000 K model, but other structures were shifted by 0.5 up to 11 500 K, and by 1.0 above that temperature, for clarity.

Current usage metrics show cumulative count of Article Views (full-text article views including HTML views, PDF and ePub downloads, according to the available data) and Abstracts Views on Vision4Press platform.

Data correspond to usage on the plateform after 2015. The current usage metrics is available 48-96 hours after online publication and is updated daily on week days.

Initial download of the metrics may take a while.