Free Access

Fig. 18

thumbnail

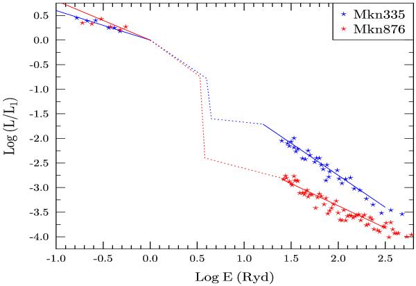
Simultaneous UV and soft X-ray Swift observations by Grupe et al. (2010) of two AGN sources Mkn 335 and Mkn 876 (blue and red stars, respectively). Mkn 335 is a pure AGN without significant star-formation activity, whereas Mkn 876 demonstrates both strong AGN activity and intense circumnuclear star formation. The original data by Grupe et al. are (i) corrected for Galactic absorption using the X-ray cross section from Morrison & McCammon (1983) and N(H) from Table 1 in Grupe et al.; (ii) transferred from coordinates log (νLν) vs. log ν to log (Lν) vs. log E; (iii) normalized by Lν at 1 Ryd, which is found by linear extrapolation of the UV data to 1 Ryd with spectral indices reported for Mkn 335 and Mkn 876 in Shull et al. (2012). The solid lines in the X-ray range are the power laws with indices given in Table 4 in Grupe et al.The dotted lines show the SEDs restored for the z = 1.9410 (blue) and 1.7193 (red) systems.

Current usage metrics show cumulative count of Article Views (full-text article views including HTML views, PDF and ePub downloads, according to the available data) and Abstracts Views on Vision4Press platform.

Data correspond to usage on the plateform after 2015. The current usage metrics is available 48-96 hours after online publication and is updated daily on week days.

Initial download of the metrics may take a while.