Free Access

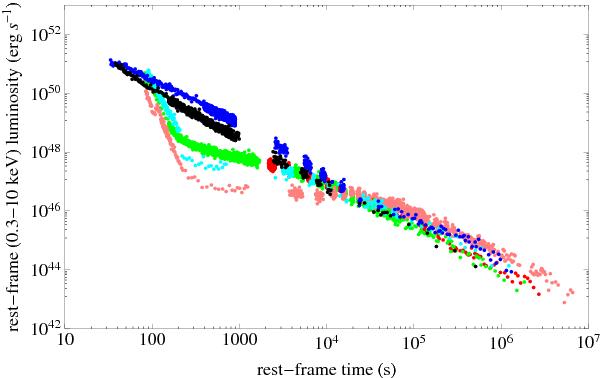
Fig. 1

thumbnail

X-ray luminosity light curves of the six GRBs with measured redshift in the 0.3−10 keV rest-frame energy range: in pink GRB 060729, z = 0.54; black GRB 061007, z = 1.261; blue GRB 080319B, z = 0.937; green GRB 090618, z = 0.54, red GRB 091127, z = 0.49, and in cyan GRB 111228, z = 0.713.

Current usage metrics show cumulative count of Article Views (full-text article views including HTML views, PDF and ePub downloads, according to the available data) and Abstracts Views on Vision4Press platform.

Data correspond to usage on the plateform after 2015. The current usage metrics is available 48-96 hours after online publication and is updated daily on week days.

Initial download of the metrics may take a while.